Kasus 5.8

Algoritma iteratif dan rekursif  untuk menghitung gcd dari dua bilangan  positif.

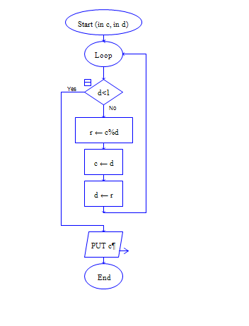
Raptor :




Algoritma :
Versi iteratif :

while (d>0) do
r=c mod d
c=d {menyimpan harga terakhir}
d=r {harga terkhir untuk menghentikan perulangan}
end while
gcd=c

Versi rekursif :

if(d=0) then gcd = c
else if(c<d) then gcd=gcd(d,c)
else gcd=gcd(gd,d)

Share this

Related Posts

Previous
Next Post »